氨基树脂交联剂应用总述
氨基树脂(三聚氰胺-甲醛、苯代三聚氰胺甲醛和尿素甲醛(尿醛)树脂)在热固性涂料中的主要作用是,将主要的成膜材料分子,通过化学反应交联成一个三维(立体)网状结构。这种网状结构是通过氨基树脂分子与成膜材料分子上的官能团的反应,并和其他氨基树脂分子同时发生缩聚反应而得到的。氨基树脂很容易与带有伯羟基和仲羟基、羧基、酰胺基的聚合物发生反应,因此氨基树脂通常用于以丙烯酸、聚酯、醇酸、或环氧树脂为基础的油漆体系中国涂料在线coatingol.com。
氨基树脂也用于聚氨酯体系中,作为涂料添加剂改进涂料某些用途的综合性能。
氨基树脂的原理:
氨基树脂在烤漆中的重要性,要远远超过了它在涂料中所占用的比例。了解如何利用氨基树脂的化学特性来设计涂料配方已显得日益重要。例如,涂料配方设计者对于涂膜的某些性能不能满意,可以通过以下几种方法调整:
1、 成膜树脂本身的改进或重新选择;
2、 氨基树脂的选择(甲醚化或丁醚化,以及醚化程度的选择等);
3、 成膜树脂与氨基树脂的搭配比例。
4、 催化剂的选择(加与不加,或加多少。
以上4条除第1条外都与氨基树脂有关,而氨基树脂的性能取决于自身的官能团及其活性,因此了解氨基树脂的结构很重要。但是在了解氨基树脂之前,首先要对与氨基树脂搭配的主体树脂有一个初步的了解。
前面提到氨基树脂主要是与醇酸树脂、丙烯酸树脂、聚酯树脂、环氧树脂搭配使用。醇酸树脂主要是由多元醇与多元酸树脂经过酯化反应合成,合成过程中一般醇类都会适当过量;也会有部分多元酸的羧基没有反应完全,因此最终生成的醇酸树脂都会含有一定量的羧基和羟基。羧基和羟基的多少通常用酸值和羟值来表征。酸值是指1g固体树脂用KOH滴定中和所需要KOH的毫克数。羟值是指1g固体树脂所含的OH转化成羧基用KOH完全滴定中和所需要KOH的毫克数。同样的,聚酯树脂、丙烯酸树脂、氨基树脂也含有一定的羧基和羟基。只是合成树脂所用的原料不同,如丙烯酸树脂中的羧基来自丙烯酸,羟基来自羟基丙烯酸,氨基树脂含有的羧基和羟基的量也不相同。酸值、羟基值、粘度都是树脂的重要指标,直接影响到树脂的性能。
回到氨基树脂的主题,首先看看氨基树脂的结构:

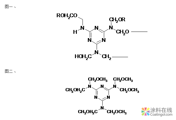
图一是一个部分烷基化的氨基树脂,其中含有烷氧基、亚氨基、羟甲基。如果把碳、氮原子间组成的六元环看成骨架的话,由之衍生出来的分架或分支可以形象的说成是三头六臂。氨基树脂性能上的千变万化,正是这六个“臂膀”的不同及它们之间的错综排列组合而形成的。
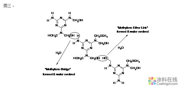
图二显示的一个极其对称的HMMM结构即全甲醚化的氨基树脂,上面的官能团只有一种:甲氧基,这是理想化的。由于醚化度在实际生产中不可能达到1:6(最高),因此所说的全甲醚化的氨基树脂总会有一点亚氨基、羟甲基的存在。
下面从氨基树脂的原理入手了解它的性质:
合成树脂的第一步是使三聚氰胺在催化剂的存在下与甲醛反应形成多羟甲基三聚氰胺。三嗪环上的所有活性氢原子都可以转化为羟甲基,但实际上是2个到6个摩尔的甲醛反应到三嗪环上,那些剩下未反应的活性氢原子则用亚氨基来表示。我们将在以后看到,这些基团在固化反应过程中通过自缩聚反应起到重要作用。
多羟甲基三聚氰胺很不稳定,在常规涂料溶剂中仅有有限的溶解度。氨基树脂在涂料中主要是起交联固化作用,为了制造一个适合涂料用的交联剂,一般需要将羟甲基与一个短链的醇发生醚化反应,以降低它的反应活性,并改善其与常规成膜材料和脂肪族溶剂的相溶性。短链醇一般使用甲醇和丁醇,控制甲醇或丁醇的加入量及其他条件,可得到具有不同醚化度的氨基树脂。
只有与甲醛反应了的部位(羟甲基)才能以醇封端,未反应的氢原子(亚氨基)不和短链醇反应。另外,这个反应显示出所有六个羟甲基都与醇反应生成六烷氧基甲基三聚氰胺,实际上可以控制1个到6个羟甲基与醇发生反应。因此就有了如此不同种类的氨基树脂。
氨基树脂的自聚合:
氨基树脂的分子量由三嗪环上的官能团(亚氨基、羟甲基、烷氧基甲基)和三聚氰胺分子间的自缩聚或架桥程度所决定。在最终应用上,架桥聚合程度所影响的氨基树脂分子量对涂膜的性能影响很大。
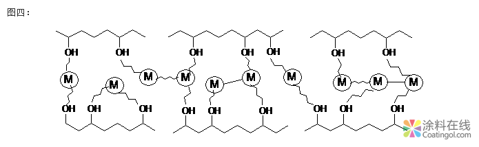
氨基树脂的自缩聚反应可以通过下面的途径发生:

其中左侧标识的反应生成亚甲基桥,右侧反应生成亚甲基醚桥。氨基树脂的架桥程度通常是用聚合度(DP)来表示:DP=分子量/每一个三嗪环的重量。早期生产的氨基树脂基本都是自聚合型的,DP>3.0。 随着技术进步使得氨基树脂成品中自缩聚减至最少成为可能。目前商品化的三聚氰氨树脂中有低至DP=1.1的。
氨基树脂分子量的主要影响在涂料粘度上可以体现出来。DP>2.0的三聚氰胺树脂一定要用溶剂烯释到50%—80%固体份,方能够达到可以应用的粘度。单体型的DP在1.1~1.5之间的三聚氰胺树脂通常能以100%有效固体形态供应,额外溶剂对完成的涂料的VOC的影响是很大的。氨基树脂的分子量也影响到涂料固化反应和涂膜性能。一个使用高DP的氨基树脂的涂料体系,将会比一个使用同样结构、但DP较低的氨基树脂的涂料体系需要较短的时间达到指定的交联密度,因此含有高DP交联剂的涂料只需要较少的催化剂或较弱的酸催化剂就能达到同一固化状态。分子量对涂膜性的影响主要是在柔韧性范围上。以高DP氨基树脂固化的涂膜,含有较高百分比的氨基-氨基键和较少的氨基-漆料键。这种类型的交联网络结构,形成一个具有良好的硬度的涂料,但可能是脆性的。有时能够通过选择一个更柔韧的漆料树脂来补偿。但是一般要求高柔韧性涂膜的用途需要单体型的氨基树脂。
含羧基基团的聚酯可能与三聚氰胺-甲醛反应产生有用的热固表面涂料,其物理性能范围广泛。
许多丁醚化三聚氰胺-甲醛树脂具有商业利益,首先初始聚合度(分子量)不同,以及烷氧基与无羟甲基团及无氨基氢的比例不同。这些差异将影响液体粘度、三聚氰胺同聚酯的配伍性以及磁漆的固化速度。传统的三聚氰胺树酯因是以与侧羟基团发生反应的方式,那么其主要与聚酯分子产生交联。由于交联反应是酸催化的,固化温度在120℃至150℃时,通常聚酯树脂在强酸中会影响交联反应,然而,一些聚酯在极弱酸中,需要另加酸催化来让磁漆体系固化。
存在如下现象:除了三聚氰胺-聚酯的交联反应外,丁醚化三聚氰胺-甲醛树脂还进行自缩聚反应。也就是说,氨基树脂发生自交联形成三聚氰胺网状结构。此反应与三聚氰胺-聚酯反应同时发生且为竞争反应。反应发生的原因是由于丁醚化三聚氰胺-甲醛树脂除了含丁氧基团外,还含有自由烃甲基团及亚氨基的氢,所有这些成分均能相互反应。氨基树脂一旦发生自交联,将失去一些功能。
虽然自交联常使涂料具有更大的硬度及耐化学性,但弹性损失很大。为了使聚酯烤漆获得足够弹性。
六甲氧甲基三聚氰胺(HMMM),是一种完全羟甲基化及完全甲基化的单体氨基树脂。与丁醚化三聚氰胺-甲醛类似,它与聚酯树脂的羟基基团在加热的时候发生交联反应生成不软化的固体。从本质来说,无酸催化剂作用时,即使时间变长或温度升高,也不会发生HMMM的自交联。然而,散装的HMMM 在150℃并有强酸催化剂存在时,将会发生自交联反应。相反地,甚至在没有强酸存在时,传统的丁醚化三聚氰胺和尿素树脂随着温度的升高,将发生强烈的自交联反应。

氨基树脂的固化反应:
由于氨基树脂是用来将主要成膜材料分子交联成一个网状结构,因此令人感兴趣的是氨基树脂与漆料树脂的共缩聚反应,典型例子是漆料树脂上的羟基和氨基树脂上烷氧基甲基的醚(交换)化反应:如下图所示。

从上图中,可以想象一下,在微观世界里三聚氰胺分子(图中用M标识)是如何与来自不同成膜高分子上的羟基拉起来的,从而联成一个三维立体网络结构,这个网络结构决定了漆膜的性能。
在热和酸催化剂(通常固化条件)存在的条件下,交联反应很快地发生,连接了漆料上所有可用的羟基。实际上当聚合物网络结构形成时,反应物的流动性在下降,有些羟基剩下未反应掉。一般在涂料中存在比理想配比过量的氨基树脂时,剩下的烷氧基可以参加其他反应或留在涂膜中不反应。在前面提到氨基树脂很容易自交联相互反应,结果是在生产中分子量增加了。这些反应也发生于涂膜固化时。这样与其说氨基树脂一定程度的自交联是一个消极因素,不如说是获得良好耐久性的、紧密聚合物母体所必不可少的因素。氨基树脂所有的三种官能团都参与自交联反应,在以强酸催化的、充分烷基化的三聚氰胺树脂涂料中,有证据显示这些反应发生于与涂料树脂醚交换之后。在没有外加催化剂或弱酸催化剂时,采用高亚氨基/或羟甲基官能度的三聚氰胺树脂体系中,这些自交联反应发生到更高的程度。这两种情况下,稍微的自聚反应对良好的网络结构的形成是关键的。
在氨基树脂交联的涂膜固化时,发生的其它反应是脱甲醛反应和水解反应。脱甲醛反应在通常固化温度下就很容易发生,这几乎是造成氨基树脂固化时释放出甲醛的唯一原因,另外的甲醛是游离的甲醛。
氨基树脂交联成膜固化时都将会发生一些水解反应,其中有些烷氧基甲基转化为羟甲基,高亚氨基或羟甲基含量的三聚氰胺树脂的水解反应能被碱所催化,甚至在室温下也能缓慢发生水解,这样氨基树脂更容易自交联,并出现涂料在储存时粘度上升的现象。为了避免这个现象的发生,可以在水性涂料中采用耐碱水解反应的、充分甲醚化的三聚氰胺树脂或助溶剂。充分烷基化的三聚氰胺树脂在水性系统中耐碱催化的水解反应。充分烷基化和部分烷基化的三聚氰胺树脂在水性系统中不耐酸催化的水解反应,因此必须使用封闭性的酸催化剂在水性系统中。
氨基树脂中的主要官能团活性顺序(反应性)如下,在固化过程中的主要反应有如图五所示:
>NH(亚氨基)>>N-CH2OH(羟甲基)>>NCH2OCH3(甲氧基)>>NCH2OC4H9(烷氧基)

氨基树脂主要官能团对涂膜性能的影响:

三棵树以创新助推工业涂料国产化
涂料行业唯一!三棵树AI公益项目获艾菲国际金奖
三棵树 X 抖音《心动的房子》,明星携手顶尖设计师,开启“理想家”的美学探索
三棵树越南市场开拓:深耕本土化运营 打造东南亚发展新样本
工程机械销量上扬引涂料需求爆发,高性能+环保+国产化重塑行业格局
政策破局+需求牵引:中国特种涂料产业正迎来"自主突围"黄金窗口期!
中国涂层材料行业全景透视:市场规模同比增长2.62%背后的工业驱动与创新趋势!
纳米涂层赋能新能源产业破局!
80亿市场规模背后的绿色革命:无机涂料何以成为建材行业新宠?
防水行业从“增量红利”到“存量博弈”!
辐射制冷涂料以“智冷”技术开启涂料产业新增长极!
基建“三稳”赋能,为涂料行业带来哪些机会?
三棵树即将亮相2025广州设计周:以东方美学开启温情之旅
【月满东方 宅见未来】三棵树以“东方大宅”为笺,亮相2025广州设计周