涂料的不挥发物体积分数是指涂料在规定的温度和时间固化或干燥后所留下的剩余物占原液体涂料的体积百分数, 也称体积固体含量。我们一般接触较多的是涂料的不挥发物质量分数, 其测试方法简单易行, 所以应用较多, 但不挥发物体积分数能更直观地反映一种涂料的涂覆使用量, 国外很多涂料公司的产品技术指标一般明示的也是不挥发物体积分数。GB /T 9272-2007 规定了一种测试涂料的不挥发物体积分数的方法, 本试验选用金属圆片作为受漆器, 对四组涂料进行不挥发物体积分数的测定, 介绍涂料不挥发物体积分数的测定方法及测试过程中的注意事项中国涂料在线coatingol.com。
1 试验部分
1.1 原理
测定未涂漆圆片的质量和体积, 用受检涂料涂覆金属圆片, 干燥后测定涂漆圆片的质量和体积,用测得的圆片涂漆前后的体积和质量计算出干膜的体积和质量, 由液体涂料的不挥发物质量分数和密度计算出形成干膜所需的液体涂料的体积, 干涂膜的体积除以液体涂料的体积乘以100即得液体涂料中不挥发物的体积分数。
1.2 仪器和材料
分析天平: 精度0.1mg。单盘型的天平是比较方便的, 由于要称量物体在液体中的质量, 因此一般需要对单盘天平进行改造, 用配衡附件代替天平盘。目前有一种电子天平, 在天平底部设有挂钩,可更方便地测定物体在液体中的质量。
烘箱: 鼓风恒温烘箱, 精度士 2 ºC。
干燥器: 内放干燥剂。
金属圆片(一般用不锈钢或铜片) : 直径约为60毫米, 厚度约为0.7mm, 边上带有一个2~ 3mm的小孔。
挂钩: 直径不超过0.3mm, 长为30~ 40mm 的镍铬丝。
烧杯: 600m l或者1000m l的烧杯, 能浸没金属圆片且距液面有10mm 的距离。
浸渍液: 合适的密度和类型的液体, 要求不能和涂层反应或溶解涂层且有良好的润湿性, 必要时可加入润湿剂, 蒸馏水适合大多数产品。
涂料: 环氧底漆、环氧厚浆漆、醇酸底漆、醇酸面漆。
1.3 测试
1.3.1 不涂漆圆片体积的测定
把圆片和挂钩放在105士 2 ºC的烘箱中干燥10分钟, 放入干燥器中冷却, 在空气中称量圆片的质量。
把圆片完全浸入液体中, 且使液体的水平面超过圆片上端10mm, 再次称重。按下式计算圆片的体积V1 (m l) :

式中: m1-- 未涂漆圆片在空气中的质量( g ) ;m2-- 未涂漆圆片在液体中的质量( g) ; P1--试验温度下的浸渍液的密度( g /m l)。
1.3.2 涂漆圆片的体积测定
把圆片系在金属丝上, 将其全部浸入受检涂料中, 然后将圆片匀速地提出来, 滴干并去掉圆片底部形成的厚边, 把涂漆圆片按照产品明示的干燥条件进行干燥, 如无特别说明, 一般在( 105士 2)ºC烘烤三个小时。烘干以后, 将涂漆圆片取出, 连同挂钩一起放入干燥器中冷却, 然后在空气中称重。将涂漆圆片放入浸不涂漆圆片时所选用的同一液体中称重, 应使液体的温度和不涂漆圆片在该液体中称重时的温度相同, 且浸入的深度相同。按下式计算涂漆圆片的体积V2 ( m l) :

式中: m3-- 涂漆圆片在空气中的质量( g ) ;m4-- 涂漆圆片在液体中的质量( g ) ; P1-- 试验温度下的浸渍液的密度( g /m l)。
1.3.3 液体涂料中不挥发物的测定
液体涂料中不挥发物的测定按照GB /T 1725-2007 《色漆、清漆和塑料不挥发物含量的测定》进行。
1.3.4 液体涂料密度的测定
液体涂料的密度测定按照GB /T 6750-2007《色漆和清漆密度的测定比重瓶法》 进行。
1.4 结果的计算
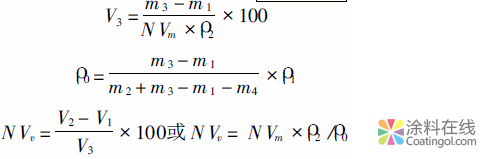
用下列公式计算变成干涂膜的液体涂料的体积V3 (m l)、干涂层的密度p0 ( g /m l) 以及不挥发物体积分数NVv (% ) :

式中: m1-- 圆片在空气中的质量( g) ; m2--未涂漆圆片在液体中的质量( g) ; m3-- 涂漆圆片在空气中的质量( g ); m4-- 涂漆圆片在液体中的质量( g ); V1-- 未涂漆圆片的体积( m l);V2-- 涂漆圆片的体积( m l); NVm-- 涂料中不挥发物的质量分数(% ) ; p1-- 试验温度下, 浸渍液的密度( g /m l) ; p2-- 试验温度下, 液体涂料的密度( g /m l)。
按照上述方法, 选用蒸馏水作为金属圆片浸入的液体, 对以下四组涂料进行不挥发物体积分数的测定, 测定结果见表1。
表1 涂料不挥发物体积分数测定结果

2 结果与讨论
2.1 涂料的不挥发物质量分数、不挥发物体积分数与干膜密度的关系
由表1试验结果可以看出, 涂料的不挥发物质量分数一般大于其体积分数, 即使不挥发物的质量分数相同, 但由于干膜密度的不同, 其体积分数也不相同, 这与涂膜的致密程度有关。
2.2 试验中应注意的可能对试验结果造成影响的因素
( 1) 浸涂金属圆片时, 不可以用称量挂钩,涂层不可太厚, 否则既不容易干燥, 又易形成气泡, 会使测试结果偏大。假如涂膜的表面有气泡形成, 用针尖将其刺破, 一般要求干燥后得到一个30~ 60.m厚的均匀涂层, 如果一次浸入不能达到这个厚度, 可以浸入多次; 如果一次浸入得到的涂层太厚, 可以用适宜的稀释剂稍加稀释再进行浸涂。
( 2) 把金属圆片浸入液体中称量时, 保证前后浸入深度一致, 避免挂钩所受浮力不同影响试验结果, 试验过程中浸渍液的温度应保持一致, 避免浸渍液密度变化对试验结果的影响。假如由于漆膜吸收液体而使质量变化很快, 应另选不被漆膜吸收的液体来替代, 并重新测定。
( 3) 不挥发物质量分数也可用未涂漆圆片的质量和涂漆圆片干燥前后的质量来进行计算, 但应保证干燥过程中不会有涂料滴落, 否则会使测试结果偏小。
2.3 该方法与理论值的关系及适用范围
用此方法测得的涂料不挥发物体积分数, 可能大于、等于或者小于理论单个组分的组合体积, 这与树脂与溶剂的溶解特性、反应固化特性及基料润湿颜料的程度有关。当颜料体积浓度大于临界颜料体积浓度时, 由于基料的数量不足以润湿所有的颜料质点, 因此颜料质点在涂膜中是疏松的存在, 此时不适宜用该方法进行测试。
三棵树以创新助推工业涂料国产化
涂料行业唯一!三棵树AI公益项目获艾菲国际金奖
三棵树 X 抖音《心动的房子》,明星携手顶尖设计师,开启“理想家”的美学探索
三棵树越南市场开拓:深耕本土化运营 打造东南亚发展新样本
工程机械销量上扬引涂料需求爆发,高性能+环保+国产化重塑行业格局
政策破局+需求牵引:中国特种涂料产业正迎来"自主突围"黄金窗口期!
中国涂层材料行业全景透视:市场规模同比增长2.62%背后的工业驱动与创新趋势!
纳米涂层赋能新能源产业破局!
80亿市场规模背后的绿色革命:无机涂料何以成为建材行业新宠?
防水行业从“增量红利”到“存量博弈”!
辐射制冷涂料以“智冷”技术开启涂料产业新增长极!
基建“三稳”赋能,为涂料行业带来哪些机会?
三棵树即将亮相2025广州设计周:以东方美学开启温情之旅
【月满东方 宅见未来】三棵树以“东方大宅”为笺,亮相2025广州设计周